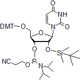
货号: GL100319
品名:
英文品名: 5’-O-DMTr-N4-Ac-2’-O-TBDMS-cytidine-3’-CED Phosphoramidite
CAS#: 121058-88-6
分子式: C47H64N5O9PSi
分子量: 902.10
所属原料药:
分类: Nucleosides and Reagents
货号: GL100308
英文品名: 5’-O-DMTr-2’-deoxy-5-iodouridine-3’-CED Phosphoramidite
CAS#: 178925-48-9
分子式: C39H46IN4O8P
分子量: 856.68
货号: GL100307
英文品名: 5’-O-DMTr-2’-O-methyl-5-iodouridine-3’-CED Phosphoramidite
CAS#:
分子式: C40H48IN4O9P
分子量: 886.71
货号: GL100306
英文品名: 2’-Deoxy-5’-O-DMT-Uridine-3’-CED Phosphoramidite
分子式: C39H47N4O8P
分子量: 730.79
货号: GL100305
英文品名: 5’-O-DMTr-N4-Bz-2’-O-methylcytidine-3’-CED Phosphoramidite
CAS#: 110764-78-8
分子式: C47H54N5O9P
分子量: 863.93
货号: GL100304
英文品名: 5’-O-DMTr-N4-Bz-2’-deoxy-2’-fluorocytidine-3’-CED Phosphoramidite
分子式: C46H51FN5O8P
分子量: 851.90
货号: GL100303
英文品名: 2’-Deoxy-2’-fluoro-5’-O-DMT-Uridine-3’-CED Phosphoramidite
CAS#: 146954-75-8
分子式: C39H46FN4O8P
分子量: 748.78
货号: GL100302
英文品名: 5'-O-DMT-2'-O-TDMS-N6-Bz-Adenosine-3’-CED Phosphoramidite
CAS#: 104992-55-4
分子式: C53H66N7O8PSi
分子量: 988.19
货号: GL100301
英文品名: 5’-O-DMTr-N4-Bz-2’-O-TBDMS-cytidine-3’-CED Phosphoramidite
分子式: C52H66N5O9PS
分子量: 968.15
货号: GL100189
英文品名: 2’-Deoxy-2’-O-Me-5’-O-DMT-Uridine-3’-CED Phosphoramidite
CAS#: 110764-79-9
分子式: C40H49N4O9P
分子量: 760.81
货号: GL100188
英文品名: 5’-O-DMT-3’-O-TBDMS-uridine-2’-CED Phosphoramidite
分子式: C45H61N4O9PSi
分子量: 861.05
货号: GL100187
英文品名: 5'-O-DMT-2'-O-TBDMS-uridine-3’-CED Phosphoramidite
CAS#: 118362-03-1
© 2023- 2024 郑州格然林科技有限公司. All Rights Reserved 豫ICP备19022032号-1